<<   3.4 M/M/1/K Sorbanállási képletek A Tartalomjegyzék 3.6 M/M/2 Sorbanállási képletek   >>


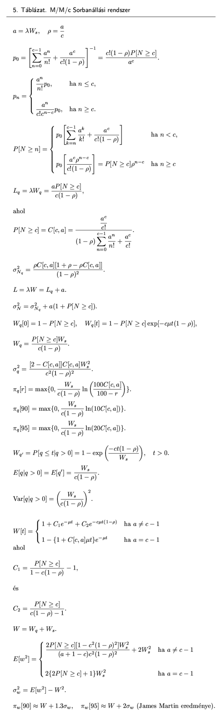
3.5   M/M/c Sorbanállási képletek

Klikkeljen a képre a táblázat megtekintéséhez (760 pixel széles)!

Java applet a jellemzök meghatározására

<<   3.4 M/M/1/K Sorbanállási képletek A Tartalomjegyzék 3.6 M/M/2 Sorbanállási képletek   >>