<<   3.15 GI/M/1 Sorbanállási képletek A Tartalomjegyzék 3.17 M/G/1 Prioritásos sorbanállási rendszer   >>


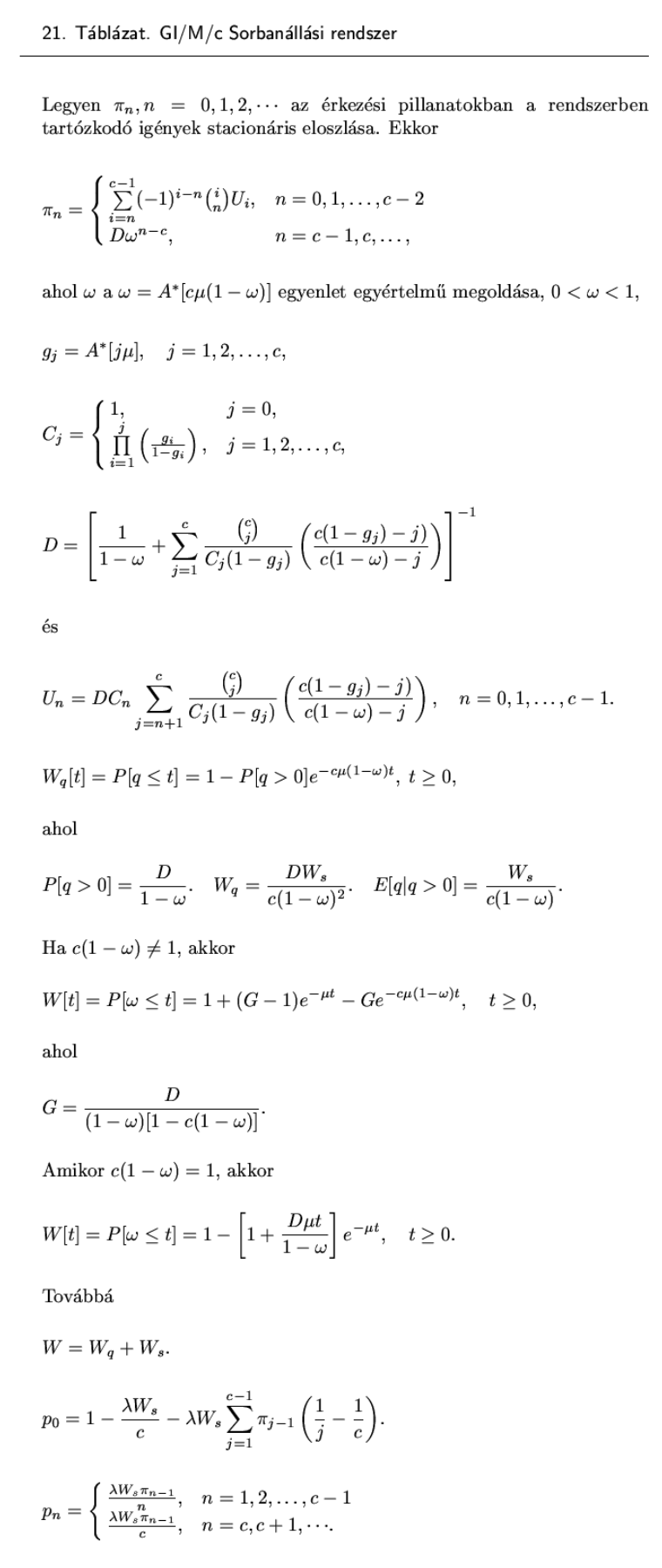
3.16   GI/M/c Sorbanállási képletek

Klikkeljen a képre a táblázat megtekintéséhez (760 pixel széles)!


<<   3.15 GI/M/1 Sorbanállási képletek A Tartalomjegyzék 3.17 M/G/1 Prioritásos sorbanállási rendszer   >>