<<   3.5 M/M/c Sorbanállási képletek A Tartalomjegyzék 3.7 M/M/c/c Sorbanállási képletek   >>


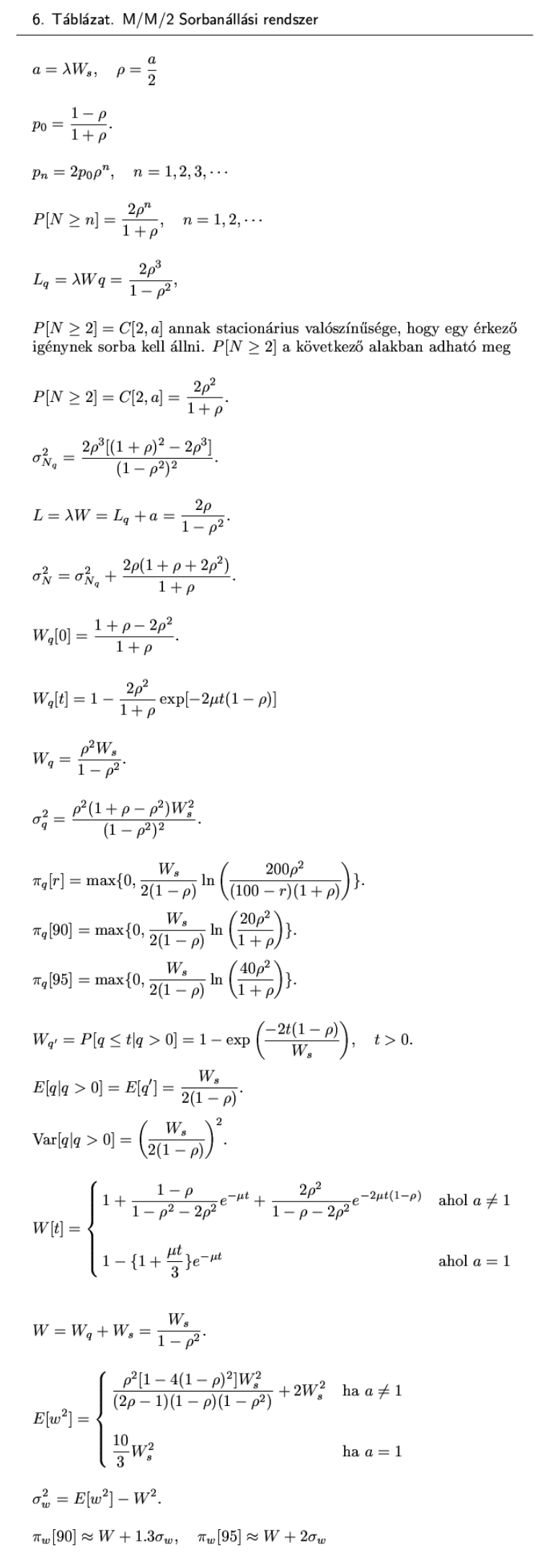
3.6   M/M/2 Sorbanállási képletek

Klikkeljen a képre a táblázat megtekintéséhez (760 pixel széles)!

Java applet a jellemzök meghatározására

<<   3.5 M/M/c Sorbanállási képletek A Tartalomjegyzék 3.7 M/M/c/c Sorbanállási képletek   >>