I.3. Születési-halálozási folyamatok
A Markov-folyamatok egy igen fontos speciális osztálya születési és
halálozási folyamatok néven ismert. A definiáló feltétel:
minden állapotból csak ,,szomszédos'' állapotba mehet végbe
átmenet (
-el változhat). Állapottérnek ekkor a nem negatív
egész számok halmazát választjuk (ami nem megy az általánosság
rovására), és
esetében
vagy
, vagy
, vagy
lehet. A születési-halálozási folyamatoknak
nagy szerepük van a sorbanállási rendszerek vizsgálatában.
Ahhoz, hogy egy
Markov lánc születési-halálozási folyamat
legyen, ki kell elégítenie az alábbi feltételeket :
ahol
egy tetszőlegesen kis intervallumot jelent,
pedig olyan mennyiséget jelöl, amely gyorsabban tart
-hoz, mint
, ha
, vagyis
, ha
. Vegyük észre, hogy
,
pozitív mennyiségek függetlenek az időtől. A
-kat születési intenzitásnak, a
-kat pedig halálozási intenzitásnak nevezzük. Jelöljük
-vel annak valószínűségét, hogy a folyamat
a
időpillanatban a
állapotban van, vagyis
Ezt szokás abszolút valószínűségnek is nevezni. Ezen valószínűségek
kiszámításához figyelembe kell venni a következőket.
A
időpillanatban a
állapotban van akkor és csak akkor, ha az alábbi feltételek
teljesülnek:
1.
időpillanatban a folyamat a
állapotban van és a
időintervallumban változás nem következik be;
2.
időpillanatban a folyamat a
állapotban volt és a
-ba történt átmenet; 3.
időpillanatban a folyamat a
állapotban volt és a
-ba történt átmenet; 4.
alatt 2 vagy több átmenet történt. Látható,
hogy az 1-3 feltételek kölcsönösen kizárják egymást,
és a 4. eset valószínűsége
. Világos, hogy
minden értékére teljes eseményrendszerről van
szó, így:
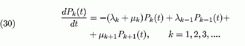
Az előbbi feltételek teljesülése után már felírhatjuk
a
valószínűséget:
Ha mindkét oldalból kivonjuk
-t és osztjuk
-val, akkor
esetén a következő differenciálegyenleteket kapjuk:

Annak belátása, hogy a fenti egyenleteknek létezik egyértelműen
meghatározott megoldása nem könnyű feladat. Az egyenletrendszer
megoldható, ha bizonyos megkötéseket teszünk a születési-halálozási
folyamatra vonatkozóan. Meg kell adni a
,
értékeket, ezenkívül a (28) egyenlőségnek
is teljesülnie kell.
Most tegyünk egy kis kitérőt. Adjunk egy intuitív módszert
arra, hogyan lehet az előbbi differenciálegyenlet-rendszert megkapni. Figyeljük
a
állapotot. Észrevehetjük, hogy oda csak a
és a
állapotokból lehet átlépni. Hasonlóképpen
a
állapototë csak úgy lehet elhagyni, hogy a
vagy a
állapotba jutunk. Mivel dinamikus szituációt vizsgálunk,
ezért világos, hogy a két rátának a különbsége,
amellyel a folyamat belép a
állapotba, ill. elhagyja azt, egyenlő kell, hogy legyen az illető
állapot abszolút valószínűségének a megváltozásával.
Ennek segítségével leírhatjuk a
valószínűségekre vonatkozó mozgásegyenletet.
A
pillanatban az érkezés intenzitása ebbe az állapotba:
míg a távozás intenzitása:
E kettő különbsége az abszolút valószínűség
-beli változásával (deriváltjával) egyenlő,
azaz
De ez éppen a (30) összefüggés
esetén. Könnyű belátni, hogy ez az érvelés
a
esetben is korrekt egyenletre vezet. Az általános, időfüggő
megoldás nehezen adható meg, ezért mi megelégszünk az
ún.
(vagy stacionárius) megoldással, mivel ez
sok esetben jól használható. Definiáljuk a stacionárius megoldást,
mint egy
valószínűségi eloszlást, amelyre fennáll
a következő:
. Ha egy ilyen eloszlás létezik, akkor egyértelmű
és minden
-ra teljesül:
Mivel minket most csak a folyamat időtől független tulajdonságai érdekelnek,
ezért először vegyük a (30) baloldalának határértékét
esetén, ez
-val lesz egyenlő, és egy kis átalakítással a következő
lineáris differenciaegyenletet kapjuk:
Ebből arra következtethetünk, hogy
A (29)-ből:
Tehát a fenti konstansnak nullának kell lenni, ezzel az alábbi
egyenlőségre jutottunk:
Ez a következőképpen értelmezhető: a baloldal a
állapotból a
állapotba való átmenet rátája, ami egyensúlyban
van a
állapotból a
állapotba való átmenet rátájával, ami
a jobboldalon található. Így az egyensúlyi állapot valószínűségei
a következők:
ahol
és
A
valószínűséget egyértelműen meghatározhatjuk,
mivel a valószínűségek
összegének
-nek kell lenni. Tehát, ha az
sor konvergens, és összege
akkor
és ez egyben a stacionáris eloszlás létezésének
elégséges feltétele is.
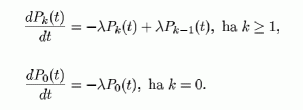
A Poisson folyamat: A vizsgált rendszerek közül
a legegyszerűbb a tiszta születési folyamat. Ekkor feltesszük,
hogy
minden
esetén. Tovább egyszerűsítve a problémát
tegyük fel, hogy
,
. Ekkor a (29, 30) a következőre redukálódik:
Az egyszerűség kedvéért tegyük fel, hogy a rendszer a
állapotból indul a
időpillanatban, azaz
Könnyű látn<i, hogy a
valószínűségre:
Így a
esetre az alábbit kapjuk:
Ennek a differenciálegyenletnek a megoldása:
Indukcióval folytatva a megoldást, könnyen meggyőződhetünk,
hogy
Ez a híres Poisson-eloszlás. A konstans
születési intenzitású tiszta születési
folyamatban előforduló születések sorozatát nevezik Poisson
folyamatnak. Mivel a kapott eredményeket később a sorbanállási
rendszerek tanulmányozásakor szeretnénk felhasználni, így
rögtön sorbanállási jelöléseket vezetünk be:
a Poisson-folyamatot mint igények beérkezését tekintjük
valamilyen kiszolgálási rendszerben, nem pedig mint egy populáció
új tagjainak születését. Ezért
az igénybeérkezés átlagos intenzitása.
A kezdeti feltételllel együtt a
mennyiség megadja annak valószínűségét,
hogy
igény érkezik be a
intervallumban. Világos, hogy ha átlagosan
igény érkezik be időegységenként, ezért
egy
hosszúságú intervallum alatt átlagosan
számú igénynek kell beérkeznie, azaz a
idő alatt beérkezett igények számának várható
értéke
. A Poisson-folyamatot, mint tiszta születési folyamatot
vezettük be, és levezettük a
mennyiségekre - egy adott
hosszúságú időintervallum alatt bekövetkező érkezések
számának valószínűségeloszlására - egy formulát.
Vizsgáljuk most meg a beérkezések időpillanatainak együttes
eloszlását, ha előre ismert, hogy éppen
igény érkezett ebben az intervallumban. Osszuk fel a
intervallumot
diszjunkt részre a következőképpen. Az
hosszúságú intervallumok előzzék meg a
hosszúságú intervallumokat
, és az utolsó intervallum
hosszúságú legyen, továbbá
Jelentse
azt az eseményt, hogy éppen egy beérkezés fordul
elő minden egyes
intervallumban
, az
intervallumban pedig egy sem.
valószínűségét akarjuk kiszámolni, feltéve,
hogy éppen
beérkezés történik a
intervallumban. A feltételes valószínűség
definíciójából
Amikor a Poisson-folyamat szerinti beérkezéseket vizsgáljuk diszjunkt
időintervallumokban, akkor független eseményeket vizsgálunk, azaz
ezek együttes valószínűségét az egyes valószínűségek
szorzataként lehet kiszámolni. Könnyu látni, hogy
és
Kihasználva ezt, azonnal kapjuk a következőt:
Másrészt tekintsünk egy olyan folyamatot, amelynél a
intervallumban
darab pont fordul elő egymástól függetlenül, mégpedig
mindegyik az intervallumon egyenletes eloszlás szerint. Könnyen belátható,
hogy
ahol a
tényező amiatt jelenik meg, mert nem különböztetjük
meg a
darab pont permutációit. Észrevehetjük, hogy a
(31) és a (32) összefüggésekben megadott két feltételes
valószínűség megegyezik, és ennek alapján arra gondolhatunk,
hogy ha a Poisson-folyamatban
idő alatt
beérkezés történik, akkor a beérkezések
eloszlása ugyanaz, mint
darab ugyanazon az intervallumon egyenletes eloszlású pont
eloszlása. Ennek pontos igazolása a fenti gondolatmenet finomításával
elvégezhető. A születési folyamat tulajdonságaiból könnyű
levezetni, hogy a Poisson-folyamat homogén; vagyis ha
jelöli a
hosszúságú
intervallum alatti beérkezések számát, akkor
függetlenül attól, hogy hol helyezkedik el az intervallum (vagyis
függetlenül az intervallum
kezdőpontjától).
Most a Poisson-folyamat és az exponenciális eloszlás közötti
összefüggés vizsgálatára térünk át.
Az exponenciális eloszlásnak szintén központi szerepe van
a sorbanállás elméletében. Tekintsük a
valószínűségi változót - a két
egymás utáni ,,szomszédos'' beérkezések között
eltelt idő -, amelynek eloszlás- és sűrűségfügvényét
, ill.
jelöli. Ekkor
a valószínűsége annak, hogy
a soron következő beérkezésig a legutolsó beérkezéstől
eltelt idő legalább
, de legfeljebb
. Mivel
a valószínűsége annak, hogy a beérkezések
közötti idő
, ezért
De
éppen annak valószínűsége, hogy
egyetlen beérkezés sem következik be a
intervallumon, azaz
. Azt kapjuk tehát, hogy
így az eloszlásfüggvény (a Poisson esetben)
Ezt differenciálva, a sűrűségfüggvény:
Ez a jól ismert exponenciális eloszlás, tehát a
.
Az exponenciális eloszlás legfontosabb jellemzője az, hogy emlékezetnélküli,
azaz a valószínűségi változó múltja nem játszik
szerepet jövőjének meghatározásában. Ezen a következőt
értjük. Képzeljük el, hogy a
időpillanatban következett be egy beérkezés. Ha azt
kérdezzük, hogy mi a legközelebbi beérkezésig eltelő
idő eloszlása, a felelet nyilvánvaló, a (33) képlet
adja meg az eloszlásfüggvényét. Teljék el bizonyos idő,
mondjuk
másodperc, ez alatt ne történjen beérkezés.
Ekkor újra megkérdezhetjük: Mennyi a valószínűsége
annak, hogy a legközelebbi beérkezésig mostantól számítva
idő telik el. Ez a kérdés csak annyiban különbözik
a
időpillanatban feltett kérdéstől, hogy most tudjuk, a két
beérkezés között eltelő idő legalább
másodperc. Ahhoz, hogy feleljünk a második kérdésre,
a következő számításokat végezzük:
A (33) miatt
és így
Az eredmény azt mutatja, hogy ha az utolsó beérkezés óta
idő telt el, akkor a következő beérkezésig hátralevő
idő eloszlása ugyanaz, mint a beérkezési időköz feltétel
nélküli eloszlása. És ez az egyetlen olyan folytonos eloszlás,
amely ilyen tulajdonságú.
Nem nehéz belátni, hogy
Ez nyilván egyenértékű a
állítással, amelyet a L'Hospital-szabállyal egyszerűen bebizonyíthatunk.
Hiszen
Az
egyenlőség a későbbiekben
nagyon fontos lesz számunkra.