III.1.1. A hátralévő élettartam paradoxona
Mielőtt nekilátnánk a beágyazott Markov-láncok ismertetésének,
meg kell értenünk a még hátralévő kiszolgálási
idő néhány tulajdonságát. Azzal az esettel foglalkozunk,
amikor a beérkező igény egy részben kiszolgált igényt
talál a kiszolgáló csatornában. Egy látszólagos
paradoxonnal kezdjük. Tegyük fel, hogy valaki egy tetszőleges pillanatban
egy villamosmegállóhoz ér és aztán villamosra vár.
Tegyük fel még, hogy ehhez a megállóhoz Poisson-folyamat
szerint érkeznek a villamosok, átlagosan percenként
villamos. Átlagosan menny időt kell várnunk a következő
villamos érkezésére? Két, egyaránt logikusnak tűnő
választ is adhatunk:
Mivel a villamosok beérkezése közötti idő átlagosan
perc, és mivel egy véletlen időpontban érkeztünk,
ezért átlagosan
percet kell várnunk.
A Poisson-folyamat emlékezetnélkülisége miatt a következő
beérkezésig eltelt idő független az előző beérkezés
óta eltelt időtől, tehát átlagosan
percet kell várnunk. Ezért az utolsó beérkezéstől
addig az időpontig eltelt idő, mikor várni kezdtünk a villamosra,
szintén
perc. Így az utolsó és a következő
villamos beérkezése közötti idő átlagosan
perc, ami
-szer olyan hosszú, mint amilyennek a Poisson folyamat esetében
lennie kellene. Tehát látszólag paradoxonnal állunk szemben.
A következőkben belátjuk, hogy a második válasz a helyes.
Ehhez tetszőleges eloszlású beérkezési időközöket
veszünk, és az egyszerűség kedvéért felújításelméleti
terminológiát használunk, és felújításelméleti
eredményekre is hivatkozunk. Ezekről bővebben olvasható Karlin - Taylor
(1985)-ben. Tekintsük az 1. ábrát.
jelentse a
-adik villamost,
az érkezési időpontját. Tegyük fel, hogy
a
időközök független, azonos eloszlású
valószínűségi változók, melyek eloszlása és
sűrűségfüggvénye:

1. ábra
Legyen
egy elég nagy konstans és a
szakaszon válasszunk ki egy véletlen
időpontot, ekkor érkezünk a megállóba. Az ábrán
a
időpont előtt utoljára érkezett villamos, és
az első amely
után érkezik. Ezt az
beérkezési időközt jelölje
, és legyen
az az idő, amit a következő beérkezésig várnunk
kell. A felújításelmélet nyelvén a
pontok egy felújítási folyamatot alkotnak,
azaz
azon felújítási pillanatok sorozata, mikor
egy régi alkatrész tönkremegy és azonnal egy újjal pótolják.
az alkatrész élettartama,
a
időponthoz képest még hátralévő élettartama,
az alkatrész kora. Keressük az
és
sűrűségfüggvényét. Feltehetjük, hogy a folyamat
régóta tart, mivel csak a határeloszlásokra vagyunk kíváncsiak.
A hátralévő élettartam eloszlását jelölje
sűrűségfüggvényét
A kiválasztott
élettartam sűrűségfüggvénye legyen
, eloszlásfüggvénye
Vegyük észre, hogy ha két felújí< tási pont között
hosszú idő telik el, akkor az az időtengely hosszabb szakaszát foglalja
el, mint egy rövidebb időtartam, és nagyobb valószínűséggel
esik a
véletlen időpillanat a hosszú intervallumba, mint a rövidbe.
Ennek szellemében el kell fogadnunk azt is, hogy annak a valószínűségnek,
hogy egy
hosszúságú intervallumot választunk ki, arányosnak
kell lennie az
hosszal, és az ilyen hosszúságú intervallumok
relatív gyakoriságával, amit
ad meg. Így a kiválasztott intervallumra
felírhatjuk, hogy
ahol a bal oldal
, a jobb oldal pedig tazt jelenti, hogy
ez arányos az intervallum hosszával. A
konstanst úgy választjuk, hogy helyesen normalizálja
a sűrűségfüggvényt. Mindkét oldalt integrálva
-et kapunk, ahol
a felújítások közötti idő várható értéke.
Tehát
Ez azt jelenti, hogy az
nem
eloszlású! A korábbi példa szavaival
élve ez azt jelenti, hogy az az intervallum, amit azáltal választunk
ki, hogy a villamosmegállóhoz érünk, nem egy tipikus intervallum!
Itt rejlik a paradoxon megoldása: valószínűbb, hogy egy hosszabb
intervallumot fogunk ki, mint egy rövidebbet. Látni fogjuk, hogy Poisson-folyamat
esetében ez azt jelenti, hogy a kiválasztott intervallum kétszer
olyan hosszú, mint egy tipikus intervallum. Keressük most meg a hátralévő
idő
sűrűségfüggvényét. Ha feltesszük,
hogy
, akkor annak a valószínűsége, hogy az
hátralévő élettartam nem haladja meg az
értéket,
ha
. Ez azért igaz, mert az
pontot egyenletes eloszlás szerint választottuk. Felírhatjuk
tehát az
és
együttes eloszlásfüggvényét:
ahol
.
szerint integrálva kapjuk az
sűrűségfüggvényt, amely
feltétel nélküli sűrűségfüggvénye, azaz
innen
Ez megadja a hátralévő élettartam sűrűségfüggvényét
a beérkezési időközök eloszlásfüggvénye és
várható értéke segítségével. Jelölje
ill.
az
ill.
Laplace-transzformáltját. Mivel nemnegatív
valószínűségi változókkal dolgozunk, az
-et egyszerűen transzformálhatjuk a függelékbeli táblázataink
segítségével. Látható, hogy az
Laplace-transzformáltja
Ezek után könnyen kifejezhetjük a hátralévő élettartam
momentumait az élettartam momentumaival. Legyen
az élettartam
-edik momentuma,
pedig a hátralévő élettartam
-edik momentuma, azaz
.
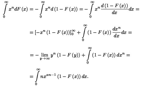
Alakítsuk az
-et.
így
Mivel
ezért
melyből
azaz
Ezek után parciális integrálással
Tehát
azaz
Speciális esetként kapjuk a várható értéket:
ahol
. Emiatt nyilvánvaló, hogy a korábbi
paradoxonra a helyes válasz csak akkor
, azaz a beérkezési időköz várható
értékének a fele, ha
, vagyis állandó beérkezési időközök
esetén. Poisson-típusú beérkezési folyamatnál
, így
, azaz korábban valóban jó megoldást
adtunk a paradoxonra. Jegyezzük még meg, hogy
, és
, ha
!