A gépek javításai történjenek a meghibásodás sorrendjében.
Ekkor a
folyamat
állapotterét
elem összes
rendû
ismétlés nélküli variációi alkotják, amelyekhez még a
pontot
is csatolni kell ( a
pont annak az esetnek a megfelelõje, amikor
mindegyik gép mûködik ). A
lánc
![]()
pillanatbeli eloszlására vezessük be az alábbi függvényeket.
Ha
jelöli a
idõpontban nem mûködõ gépek számát,
a
nem mûködõ gépek indexét
meghibásodásuk
sorrendjében, akkor a lánc
pillanatbeli eloszlását leíró függvények:
![]()
![]()
ahol
,
. Ezek a függvények kielégítik
a következõ differenciálegyenlet-rendszert

A stacionárius eloszlás, mely azonos a
![]()
![]()
ergodikus
eloszlással, a
![\begin{displaymath}
\eqalign{
\left[\sum_{i=1}^n\lambda_i\right]P_0=&\sum_{i=1...
... \sum_{r\ne{i_1\ldots i_k}}
\mu_rP_{ri_1 i_2\ldots i_k},\cr}
\end{displaymath}](img59.gif)
![]()
homogén lineáris egyenletrendszerneik
a
feltételt kielégítõ
egyértelmû megoldása, ahol az összegzés n elem összes variációjára terjed
ki. Az egyenletrendszer könnyebben kezelhetõvé válik, ha bevezetjük
a következõ vektorváltozókat. Legyen ![]()
dimenziós vektor, amelynek
a komponensei az
számok
-ad osztályú, lexikografikusan rendezett
variációihoz tartozó
valószínûségek. Ekkor az
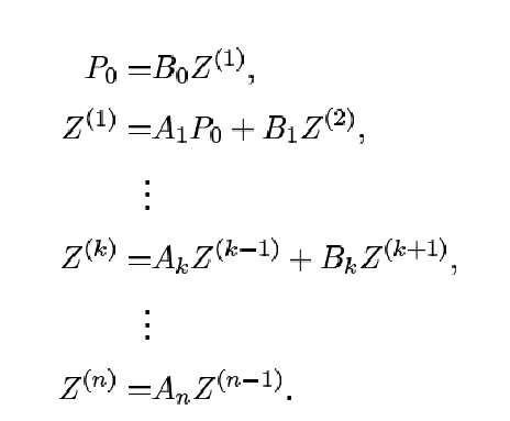
egyenletrendszer az alábbi differenciaegyenlet-rendszerbe megy át:

Itt most
-re
-es mátrix,
-re
-es mátrix, és elemeik az
egyenletrendszerbõl könnyen meghatározhatók. Legyen
és tetszõleges
esetén
. Ekkor
![]()
, ahol
. Egy tetszõleges
értékbõl a ![]()
vektorok
rendre meghatározhatók. A
valószínûségeket a normalizáló
feltétel figyelembe vétele után e vektorok komponensei szolgáltatják.
|