II.6.3. Az $<n/\vec{M}/\vec{M}/1/PR>$ rendszer


Abszolút prioritásos kiszolgálási elv esetén a $\xi(t)$ folyamat állapotterét az $1,2,\ldots,n$ számok $(i_1,\ldots,i_k)$ $(1\le k\le n)$ kombinációi alkotják, és ezekhez még hozzá kell venni a $0$ pontot (minden gép működik ). Legyenek $P_{i_1,\ldots,i_k}(t)$ $(1\le i_1<i_2<\ldots<i_k\le n)$ a $\xi(t)$ lánc $t$ pillanatbeli eloszlását leíró függvények. Ekkor a Kolgomorov-egyenletek a következők:

\begin{displaymath}P_0^{'}\left(t\right)=-\left[\sum_{i=1}^n \lambda_i\right]
P_0\left(t\right)+\sum_{i=1}^n\mu_i P_i\left(t\right),\end{displaymath}


\begin{displaymath}P_{i_1\ldots i_k}^{'}\left(t\right)= \sum_{r=1}^k \lambda_{i_r}P_{i_1\ldots
i_{r-1} i_{r+1}\ldots i_k}\left(t\right)-\end{displaymath}


\begin{displaymath}-\left[\nu_{i_1\ldots i_k}+\mu_{i_1}\right]P_{i_1\ldots i_k}\left(t\right)
+\sum_{r=1}^{i_1-1} \mu_r P_{ri_1\ldots i_k}(t) ,\end{displaymath}


\begin{displaymath}P_{1,\ldots,n}^{'}(t)=\sum\limits_{r=1}^n\lambda_rP_{1,\ldots,r-1,r+1,
\ldots,n}(t)-\mu_1P_{1,\ldots,n}(t).\end{displaymath}

A stacionárius eloszlás, amely azonos a

\begin{displaymath}P_0=\lim_{t\to\infty} P_0(t) ,\end{displaymath}

\begin{displaymath}P_{i_1\ldots i_k}=\lim_{t\to\infty} P_{i_1\ldots i_k}\left(t\right) ,\end{displaymath}

$(1\le i_1,i_2,\ldots,i_k\le n,\ \ 1\le k\le n)$, ergodikus eloszlással, a

\begin{displaymath}\left[\sum_{i=1}^n\lambda_i\right]P_0= \sum_{i=1}^n \mu_iP_i,\end{displaymath}


\begin{displaymath}\left[\nu_{i_1\ldots i_k}+\mu_{i_1}\right] P_{i_1\ldots i_k}=...
..._{r=1}^k
\lambda_{i_r} P_{i_1\ldots i_{r-1}i_{r+1}\ldots i_k}+\end{displaymath}


\begin{displaymath}+\sum_{r=1}^{i_1-1} \mu_rP_{ri_1\ldots i_k} ,\end{displaymath}


\begin{displaymath}\mu_1P_{1,\ldots,n}=\sum\limits_{r=1}^n\lambda_rP_{1,\ldots,r-1,r+1,
\ldots,n}\end{displaymath}

homogén lineáris egyenletrendszernek a $P_0+\sum P_{i_1\ldots i_k}=1$ feltételt kielégítő egyértelmű megoldása, ahol az összegzés $n$ elem összes kombinációra terjed ki.

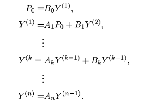
Az egyenletrendszer megoldásához, hasonlóan a meghibásodás sorrendjében történő kiszolgálás esetéhez, vezessük be a következő vektorváltozókat. Legyen $Y^{\left(k\right)}$ $(1\le k\le n)$ $C^n_k={n\choose k} $ dimenziós vektor, amelynek a komponensei az $1,2,\ldots,n$ számok $k$-ad osztályú, lexikografikusan rendezett $i_1,\ldots,i_k$ kombinációhoz tartozó $P_{i_1\ldots i_k}$ valószínűségek. Ekkor az egyenletrendszer az alábbi differencia egyenletrendszerbe megy át.



Itt most $1\le k\le n$-re $A_k$ $C_k^n\times C_{k-1}^n$-es mátrix, $0\le
k<n$-re $B_k$ $C_k^n\times C_{k+1}^n$-es mátrix, és elemeik egyenletrendszerből kiolvashatók. Ezt a differencia egyenletrendszert ugyanúgy oldhatjuk meg, mint a FIFO kiszolgálás esetén.

Nyitólap    Tartalomjegyzék    Fejezetek ( B I II III IV F )    Letöltések
FRAME-mel FRAME nélkül
<<   Előző Következő  >>